百家姓历史279——权氏家族简介
姓氏源流





得姓始祖

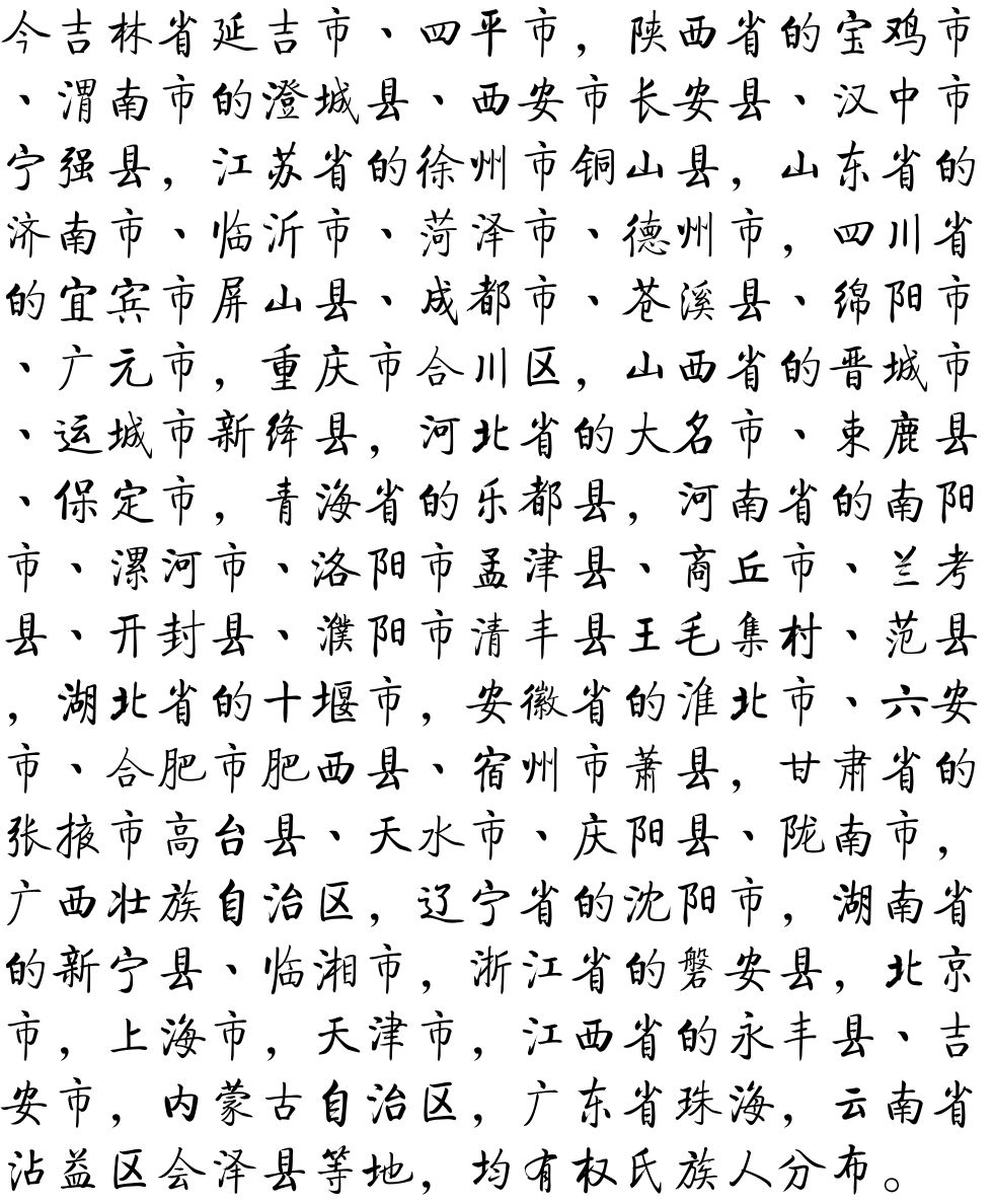
迁徙分布


郡望堂号

历史名人



宗祠通用联




祝愿我的家族:子子孙孙,代代英贤。五谷丰登,百业兴旺。百族协和,四海鹰扬。建此伟业,雄立东方。承继我祖,百世绵延。纵观全球,和平发展。协和百族,辑睦四邻。寿禄无疆,风调雨顺。睦亲敬族,忠国爱乡。并肩携手,共铸辉煌。历马扬鞭,精诚团结。上进治学,耀国显邦。宗族和畅,家富国强。英才代出,耕读治家。


姓氏源流





得姓始祖

迁徙分布


郡望堂号

历史名人



宗祠通用联




祝愿我的家族:子子孙孙,代代英贤。五谷丰登,百业兴旺。百族协和,四海鹰扬。建此伟业,雄立东方。承继我祖,百世绵延。纵观全球,和平发展。协和百族,辑睦四邻。寿禄无疆,风调雨顺。睦亲敬族,忠国爱乡。并肩携手,共铸辉煌。历马扬鞭,精诚团结。上进治学,耀国显邦。宗族和畅,家富国强。英才代出,耕读治家。
