百家姓历史262——盘氏家族简介


姓氏源流

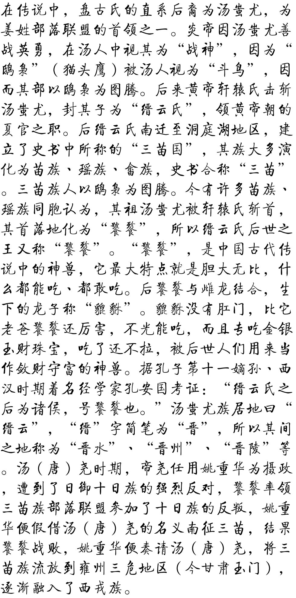
得姓始祖

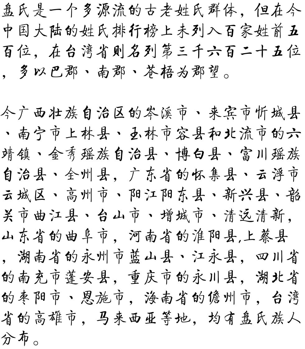
迁徙分布

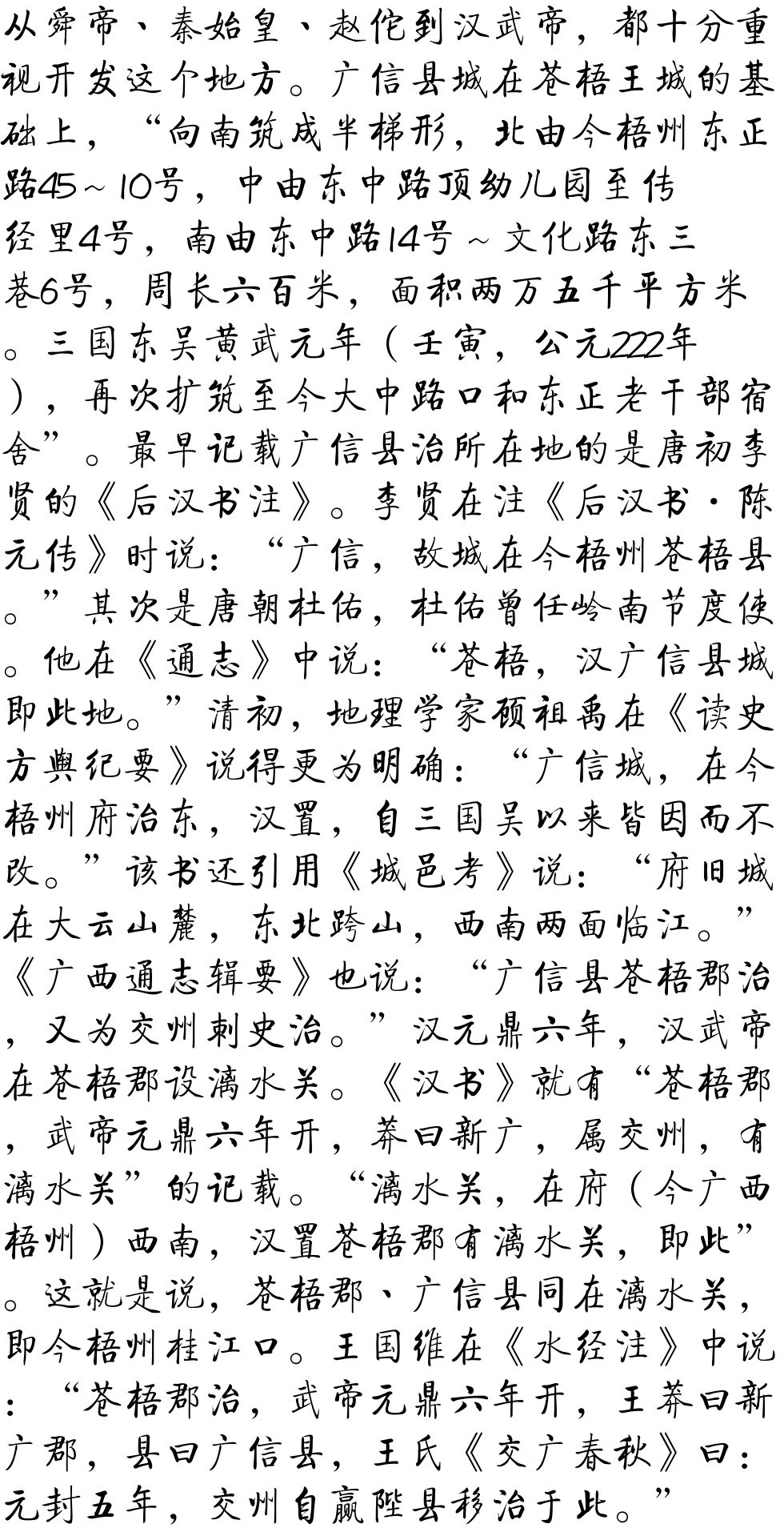
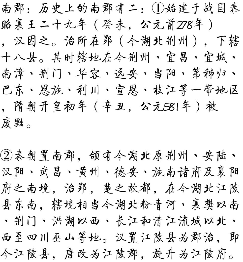
郡望堂号


上一篇:百家姓历史263——彭氏家族资料
下一篇:百家姓历史261——裴氏家族简介