如何对抗减肥饥饿感?让你减肥成功的九条黄金诀窍!

虽然大多数人的减肥最终以失败告终,但仍有大约1-5% 的人还是成功 了。
他们是怎么战胜减肥中的饥饿感的?又通过了哪些方法提升自己的基础代谢?

乐心医疗/库珀有氧首席科学家、美国运动科学院院士朱为模教授根据他在美国参加对减肥的科学研究,以及对中国浩浩荡荡的减肥失败大军的观察,对中国减肥者提出了几点建议:

 不要轻易加入减肥大军 

目前有很多中国人特别是年轻女性,其实并不胖,为了追求骨感美也匆匆地加入了减肥大军,结果弄巧成拙,要么越减越肥,要么患上了饮食失调症(也叫厌食症,Eating Disorder)。

一定量的脂肪对身体健康,尤其是对于年轻女性的健康是非常重要的。 所以,一定要警惕那些狂轰滥炸的减肥广告和时尚杂志。

不要节食减肥 

冰冻三尺非一日之寒,小腹三层非一日之馋,既然我们身上多出来的几十斤脂肪不是从天而降的,那么请它们走时也一定不能太快。

减肥速度如果太快、太猛,身体得到的信号将是“大饥荒来了!”身体的自然保护反应则是基础代谢率下降,饥饿感增强,结果必然导致减肥失败,并且可能越减越肥。

因此那些自称能在短期内迅速减肥的服务项目,不但骗人,而且是在害人!


节食速度太快时,身体的第一保护功能就是马上降低基础代谢率(上图左); 研究发现慢速度节食加运动可以明显减缓基础代谢率下降的速度

另外,女性过了45岁,男性过了50岁基础代谢率会有一个明显的下降(上图右),这也是人到中年发福的一个重要原因。

 学会与“饥饿”作斗争的技巧 

难以忍受的痛苦的饥饿感是导致减肥失败的最主要原因。 对饥饿感最敏感的身体调节是体内的血糖水平和胃的饱感 所以保证一个较为平稳的血糖水平和胃饱感是关键。

 早饭必须有一定量的蛋白质,这样消化起来慢,使得一天中不断有能量供应;
 每餐中一定要保证一定量的粗纤维,胃容易得到饱感;
 午餐与晚餐之间可以吃点水果或果仁,使晚饭前不会因为感觉太饥饿而过量进食;


 吃饭前先喝汤,使胃得到饱感而减少进食;
 尽量少吃加工食品,这些食品一是太容易消化会导致血糖水平快升快降,二是它们多数含有不利于健康和导致肥胖的过量的糖、油、色素等;
 尽可能把运动锻炼的时间放在晚饭前进行,运动以后喝点水,食欲就不会太强,“晚吃少”也就比较容易做到了。

 警惕和消除“隐性”能量 

尽可能避免饮用碳酸饮料,因为除了额外的糖,这些饮料对健康没有一点好处。

而所谓的果汁饮料的隐性能量也不容忽视,在水果饮料加工中,有利于健康的粗纤维大量流失,为了调节出可口的味道和漂亮的颜色,往往加入了过量的糖和色素。


饮用一杯小小的含糖饮料
就能让你一朝回到减肥前

 保持足够的睡眠 

最新的研究表明,缺觉是导致肥胖的一个危险因素,主要原因包括醒着的时候多摄入的能量(每天大约300卡路里),下降的基础代谢率和增加饿素的分泌。

 增加你的基础代谢 

我们摄入的大约60-70%的能量是用于维持生命的,叫做基础代谢。

所以,有效提高基础代谢是减肥最有效的方法,因为 身体中的骨骼肌(即肌肉)是基础代谢消耗的大户 ,保证骨骼肌在身体中的比例尤为重要,而 锻炼维持骨骼肌肉最有效的方法就是力量训练。
 
力量训练在减肥中的作用,恰恰是中国老百姓运动锻炼中的一大盲区。

中国的年轻女性往往认为自己的目的意在减肥,力量训练会把肌肉块练大了难看;中国的老年人往往认为力量训练中常要屏气,会对心脏负荷压力太大等等,其实这些认识都是“过时”了的或者错误的。


年轻女性因为雌性激素的作用,一般的力量训练是不会把肌肉“块”练起来的,相反,把中小力量训练与有氧运动结合起来其实是提高肌肉百分比,从而提高基础代谢率的最佳方法。

与此相反, 光靠饮食控制的减肥/控重一是很难坚持,二是很容易导致“隐性”肥胖,即:体重似乎正常,但脂肪百分比却很高。

请大家照照镜子对号入座:

男性正常范围(脂肪占体重的百分比):
20-39岁: 8%-19%;40-59岁: 11%-21%;60-79岁: 13%-24%;

女性正常范围(脂肪占体重的百分比):
20-39岁: 21%-32%;40-59岁: 23%-33%;60-79岁: 24%-35%
对老年人而言,力量训练就更加重要了。

人从30岁起,肌肉就开始走下坡路,如果不锻炼,到50岁时,肌肉体积即已经萎缩10%;60-70岁之间大约又萎缩15%;80岁后每10年的萎缩则可高达30%。

平均下来, 40岁以后每10年肌肉萎缩5斤左右,而同期脂肪大约增加10斤左右,一下一上,不健康的体重在每10年中等于增加15斤!

如果只靠控制饮食来调节体重,虽然对“坏体重”(即脂肪)有所帮助,但对“好体重”(即肌肉)的维持则帮助甚微。
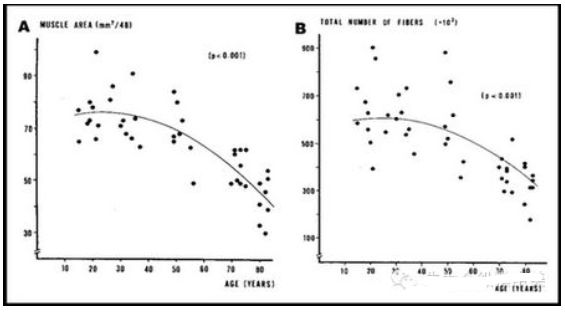
随着人年龄的增加,肌肉面积(上图-A)
和肌纤维数量(上图B)都会减小或减少
可喜的是,运动可以有效地缓减衰老速度。 女性和老年人都应该定期做力量训练

这是因为肌肉可以帮助身体清理多余的血糖,肌肉体积增加可以帮助人的基础代谢率提高,肌肉量上去了,耗能多,减肥就更有效。

 减肥心理调节不可忽视 

为什么人在自我控制中常常表现矛盾呢,例如明知吃甜点容易发胖,但又不能控制地一次又一次地多吃?

最近对自我控制(Self-control)的心理生理学研究(McGonigal,2012)表明, 这与人类漫长的进化过程有关 ,多吃甜点容易积累脂肪是几万年中环境告诉人体要做的事,而突然变化的环境使人增加了很多吃甜点的机会。

但人类后来进化中发展的自控能力则告诫自己,吃得太多会发胖,会使减肥的努力前功尽弃,两者会在减肥的过程中不断地斗争。


研究表明,经常做点放松、深呼吸或打坐一类的运动会帮助“好思想”(少/不吃甜点)战胜“坏思想”(再来一块吧!)。

另外研究也表明, 家庭和社会的支持对成功减肥也很重要,准备减肥的人在开始减肥前一定要预先建立起自己的社会支持圈。

 了解减肥对其他疾病的影响 

肥胖的人常常会同时患有其它慢性病,减肥中引起的生/心理变化可能会对其现有的疾病产生预想不到的负面影响。

所以,减肥前一定要做一次全面的体检,如果已患有某种疾病,一定要咨询有关专家,对防范可能出现的减肥副作用做好应急准备。

 改变生活习惯/方式是关键 

大量的研究表明,靠单一方法来取得减肥成功的可能性很小,逐步养成良好的运动、良好的饮食习惯和良好的生活方式是成功的关键!

-END-


上一篇:减肥饮食中的“黑名单”
下一篇:你以为你只跑步+减少饮食就可以拥有马甲线了吗?太天真!